近日,李晓光研究员与武汉大学物理科学与技术学院王取泉教授研究组、中国科学技术大学张振宇教授合作,在等离激元-激子强耦合体系的研究中取得重要研究进展。该团队基于所发展的等离激元-激子强耦合的全量子理论模型,揭示杂化体系在零失谐情况下Rabi劈裂和Fano共振吸收光谱的高度非对称性,这种非对称性是源于等离激元与激子的杂化体系中的相干过程所引起的能量重新分配。实验上利用物理溅射的方法制备了金银合金纳米颗粒,通过调节金银原子比和颗粒的密度保持等离激元与罗丹明分子的共振吸收,并通过改变合金纳米颗粒中银的含量实现了对等离激元共振强度的调控,并揭示了杂化体系消光光谱非对称性、从Fano共振到Rabi劈裂以及非线性吸收系数与银的含量的关系。这一研究成果对强耦合体系的准确调控有着重要的指导意义,以“Strongly Asymmetric Spectroscopy in Plasmon-Exciton Hybrid Systems due toInterference-Induced Energy Repartitioning”为题发表在世界著名的物理学顶级学术周刊《物理评论快报》上[Phys. Rev. Lett. 119, 177401(2017)],李晓光研究员为通讯作者(共同通讯),
	全文链接:http://dx.doi.org/10.1103/PhysRevLett.119.177401 
	
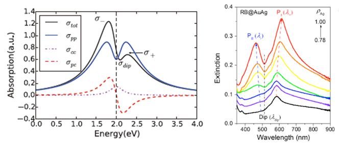
图1. 左:理论上等离激元-激子杂化体系的光谱非对称性。右:实验测量的金银合金纳米颗粒/罗丹明耦合杂化体系消光光谱与银含量的关系。
	
该研究团队还通过化学自组装方法制备了金纳米棒与近红外染料分子IR-806的强耦合体系。在该杂化体系中,由于等离激元-激子的强耦合作用,体系的消光谱上出现了由于Fano共振效应导致的吸收谷。在此Fano吸收谷附近,观测到由耦合调控的反常非线性吸收现象,即非线性吸收系数在同一频率正负值间的转变;通过时间分辨差分透射谱观测到该耦合体系中等离激元到激子的超快能量转移超快动力学过程。理论上,采用量子模型计算揭示了分子的饱和吸收是控制其非线性吸收和超快能量转移的关键。此研究成果揭示了金属和分子耦合体系的特殊非线性响应机制,为这类杂化体系在非线性纳米光学器件上的应用提供了新思路。这一研究成果以“Unusual and Tunable One-Photon Nonlinearity in Gold-DyePlexcitonic Fano Systems”为题发表在纳米领域顶级期刊《纳米快报》上[Nano Lett. 15, 2705 (2015)],李晓光研究员为第一作者(共同一作),
	全文链接:http://dx.doi.org/10.1021/acs.nanolett.5b00413 
	
图2. 金纳米棒-IR806杂化体系的线性消光谱和非线性吸收系数。