On October 9, 2024, the team of Researcher Cai Xingke from the Advanced Research Institute of Shenzhen University published a research paper titled “Second-shell modulation on porphyrin-like Pt single atom catalysts for boosting oxygen reduction reaction” in the Natural Index journal Chemical Science. The Advanced Research Institute of Shenzhen University is the first completing unit, with Dr. Tayyaba Najam, a postdoctoral researcher from the institute, as the first author. Researcher Cai Xingke and Academician Xu Qiang from Southern University of Science and Technology co-authored the paper. The focus of the work is on the modulation of the second coordination shell of single-atom Pt catalysts. This work demonstrates that besides the metal catalytic center and the first coordination shell, the second coordination shell also has a significant impact on the performance of the catalyst.
The first coordination shell is considered key to determining the performance of single-atom catalysts (SACs), while the importance of the second coordination shell has been overlooked. If the second coordination shell has a significant effect, it could provide additional pathways for optimizing SAC performance beyond the modulation of the catalytic center and the first coordination shell. In recent years, a few papers have reported on the influence of the second coordination shell of metal catalytic sites on catalytic activity, showing that doping in the second coordination shell can effectively enhance catalytic activity. However, these papers mainly provide evidence through electron microscopy analysis, demonstrating changes in the second coordination shell without sufficient macroscopic evidence. Synchronous radiation characterization techniques, which macroscopically characterize atomic coordination environments, generally only analyze the fine structure of the active center and the first coordination shell, with very weak responses to the second shell. Therefore, effectively demonstrating changes in the coordination environment of the second coordination shell and their impact on performance will have profound implications for the study of single-atom catalysts.
In this work, taking porphyrin-like Pt single-atom catalysts as an example, through theoretical analysis combined with experimental data characterization, it is demonstrated that the doping of P atoms in the first coordination shell of PtN4 through post-processing is unstable, and they will be doped in the second coordination shell, directly bonded with N atoms. This P atom not only enhances the ORR activity of Pt single atoms but also prevents the symmetric catalytic structure of PtN4 from being completely covered by SO42- or ClO4- in acidic media, which can lead to poisoning of the Pt catalytic site.
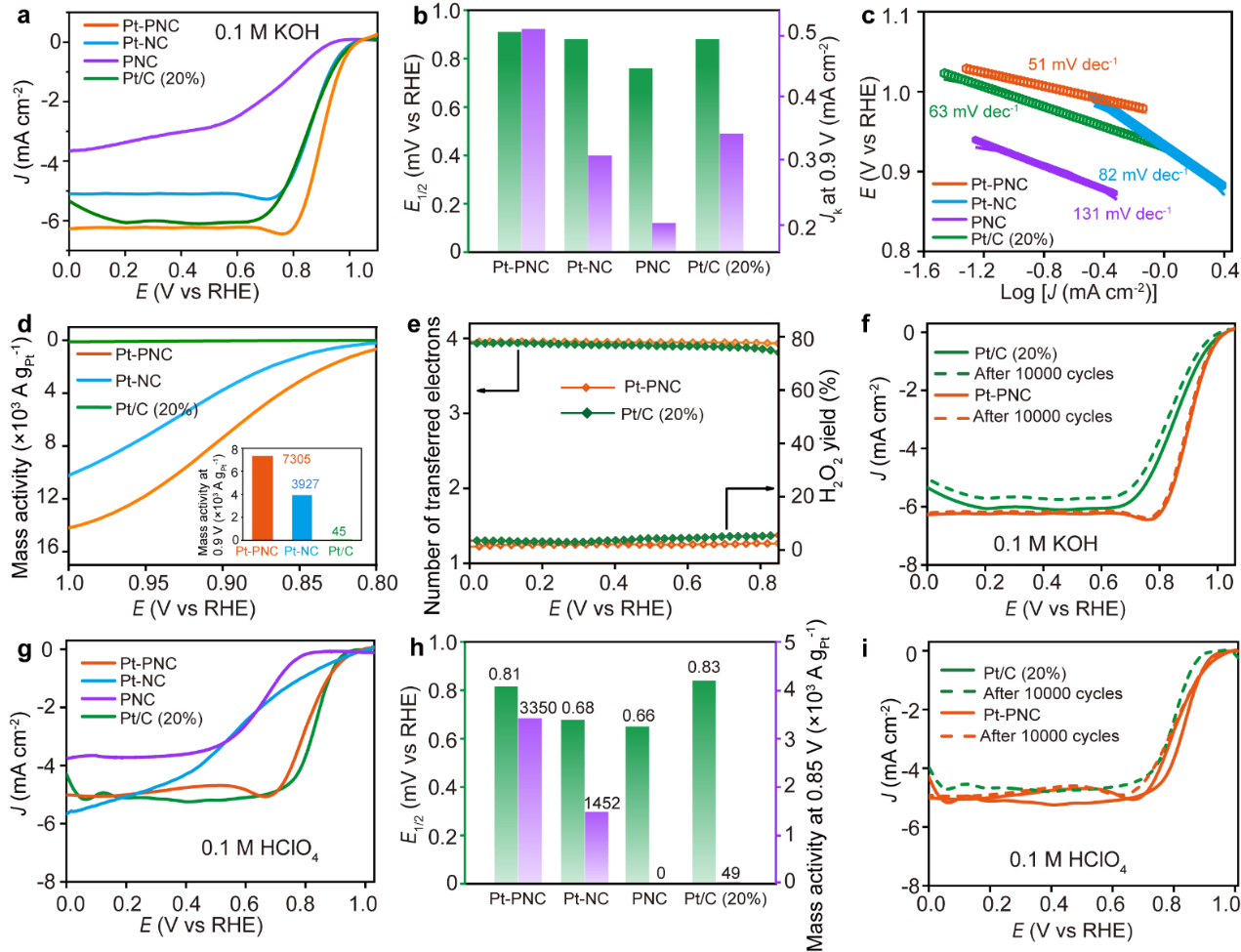
Compared to the PtN4 structure with the same Pt content, the PtN4P catalyst with an ultra-low Pt content of 0.22wt% exhibits significantly improved ORR performance (Figure 1). In both alkaline and acidic media, the PtN4P catalyst shows a higher ORR E1/2 value compared to the PtN4 structure. Furthermore, despite its ultra-low Pt content, the PtN4P catalyst exhibits comparable E1/2 values to the Pt/C catalyst and demonstrates superior cycle stability.

Figure 1. Study on the ORR performance of PtN4 catalysts with second coordination shell modified by P in acidic and alkaline environments.
This work not only provides theoretical guidance on the stability regulation of the second coordination shell but also directly proposes a method of post-treatment doping to achieve controlled regulation of the second coordination shell after obtaining a stable first coordination shell. Additionally, this work provides theoretical evidence and avoidance methods for the poisoning mechanism of electrocatalysts (Figure 2).

Figure 2. Mechanism study on the enhancement of ORR activity by P atom in the second coordination shell and the avoidance of ClO4- poisoning.
This research was funded by the National Natural Science Foundation (52373266, 12305364, 12275271, 2023YFA1506601), the Guangdong Provincial Natural Science Foundation (2022A1515010670, 2022A1515011048, 2021ZT09C064), and the Shenzhen City Fund (Approval No.: KQTD20170810105439418, 20200812112006001, GJHZ20220913142610020).
Original link: https://pubs.rsc.org/en/content/articlelanding/2024/sc/d4sc03369h