On 2025 November 21, Professors Meng Li and Cui-Jing Zhang from the Institute for Advanced Study (IAS) of Shenzhen University published a paper titled ‘Methane cycling microorganisms drive seasonal variation of methane emission in mangrove ecosystems’ in Environmental Microbiome (2025 IF=5.4). In this paper, they revealed that seasonal microbial interactions regulate mangrove methane flux, providing critical insights for modeling global methane budgets and guiding climate-smart mangrove management. Professor Meng Li is the corresponding author. Assistant professor Cui-Jing Zhang and Master student Junjie Hou are the co-first authors.
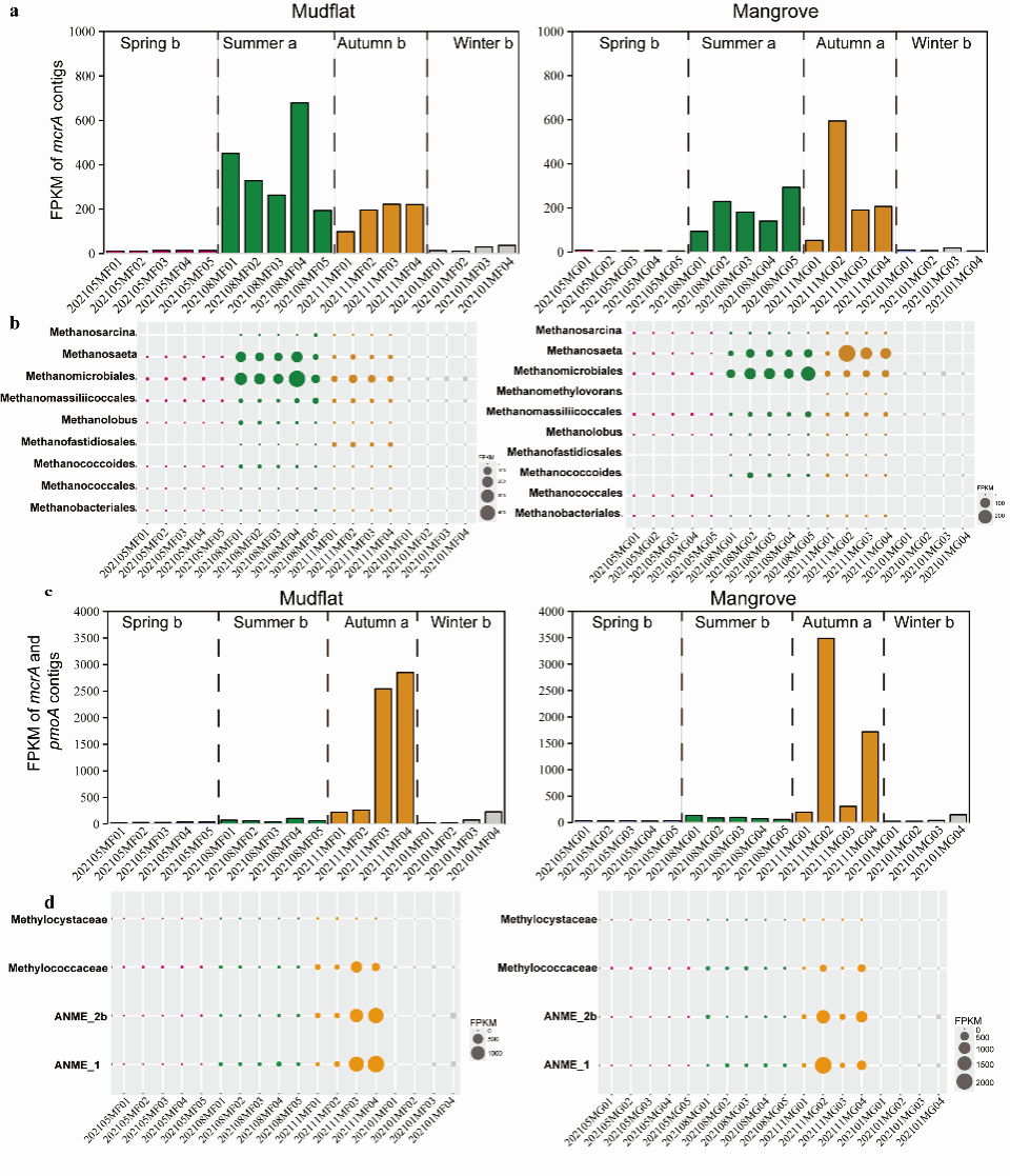
Coastal mangroves are one of the significant hotspots of natural methane (CH4) emissions, yet the seasonal dynamics of these emissions and the underlying microbial drivers remain poorly understood. In this study, we conducted a seasonal investigation (from March 2021 to January 2022) in mangrove sediments of the Futian Natural Reserve. We measured in situ methane fluxes and analyzed the microbial community structure via 16S rRNA gene sequencing, metagenomics and metatranscriptomics. Our results revealed significant seasonal variations in methane emissions, with the highest rates occurring in summer. Based on relative abundance of 16S rRNA gene amplicons and methyl-coenzyme M reductase (mcrA) and particulate methane monooxygenase (pmoA) gene sequences obtained from metagenomes, we identified three dominant methanogenic lineages (hydrogenotrophic Methanomicrobiales, acetoclastic Methanosaeta and H2-dependent methylotrophic Methanomassiliicoccales), two anaerobic methanotrophic archaea (ANME-1 and ANME-2b) and one group of aerobic methanotrophic bacteria (Methylococcaceae). Metatranscriptomic data further illuminated that the transcripts of methanogenic mcrA genes were significantly higher in summer and autumn, while the transcriptional activity of anaerobic (ANME-mcrA) and aerobic (pmoA) methanotrophs were most pronounced in autumn (Figure 1). Correlation analyses established a significantly negative relationship between methane emissions and salinity levels. The principal novel contribution lies in the integration of meta-omics, which directly linked seasonal methane flux patterns to the in situ transcriptional activity of key microbial guilds.

Figure 1. Expression levels of mcrA and pmoA genes across four seasons in mangrove and mudflat sediments.
This work was supported by the grants from the Guangdong Major Project of Basic and Applied Basic Research, the National Natural Science Foundation of China, the Shenzhen Science and Technology Program and Shenzhen University 2035 Program for Excellent Research.
Paper link::https://doi.org/10.1186/s40793-025-00801-7