石墨烯因其独特的结构和非凡的声子特性体现出了不同寻常的热输运行为,其室温热导率高达~4000W/mK。尽管很多实验和理论工作都致力于研究石墨烯的声子输运行为,但长期以来电声相互作用对其热导率的影响却被忽视。这是因为对于单层石墨烯,由于其平面结构所造成的反射对称性,使得对热导率起重要贡献的平面外偏振(ZA)声子并不能直接被电子所散射。因此,人们期待电声散射作用并不会影响石墨烯的声子输运性质。然而,在李武研究员课题组近期的一项研究中发现尽管主导石墨烯热导率的ZA 声子不能被电子直接散射,但由其他声学支(TA和LA)声子的作为媒介的ZA 声子和电子之间的间接耦合作用能够使得石墨烯的热导率即便在室温也能下降高达21%[https://ias.szu.edu.cn/info/1019/5777.htm]。
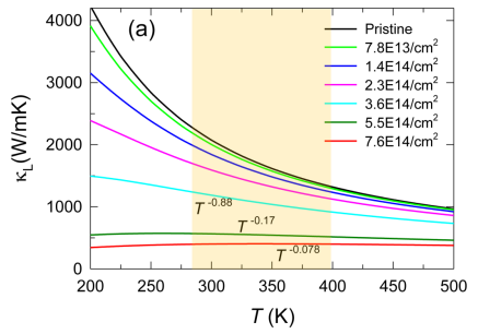
和单层石墨烯一样,双层石墨烯也表现出了优异的热传输性能,其室温热导率高达∼2000 W/mK。李武课题组最新的一项研究中发现, 在高载流子浓度下,电声相互作用使得双层石墨烯到达一个反常的声子输运区间。在该区间,电声相互作用使得双层石墨烯的晶格热导率即便在室温也能下降五倍,并且其热导率在室温以上几乎不随温度变化。这个反常的声子输运现象主要归因于(1) 平面外偏振声学声子和电子之间的直接相互作用;(2) 由于Normal过程的主导性造成的微弱的声子-声子散射作用;(3) Normal过程的主导性引起的平面外偏振声学声子和电子之间的间接耦合作用。研究结果发表于以Letter 形式发表于Physical Review B [Phys. Rev. B 104, L100306 (2021)],标题为“Tuning the phonon transport in bilayer graphene to an anomalous regime dominated by electron-phonon scattering”。论文第一作者为课题组杨小龙博士(现为重庆大学副教授),合作者包括刘喆博士和孟繁臣博士(克莱姆森大学)。该研究工作受到了国家自然科学基金以及广东省自然科学基金等项目的资助。


左图是不同载流子浓度下双层石墨烯的声子热导率对温度的依赖关系;右图是室温下热导率随载流子浓度的变化。
李武研究员2008年以来一直从事声子输运的研究工作,与合作者开发的开源软件ShengBTE(声BTE)(引用1200余次;http://www.shengbte.org/)使无任何拟合参数的第一性原理计算晶格热导率的方法成为主流研究工具,为全世界数百个研究组广泛使用,极大地推动了微纳尺度传热和热电材料等相关领域的发展。
论文链接:https://journals.aps.org/prb/abstract/10.1103/PhysRevB.104.L100306。