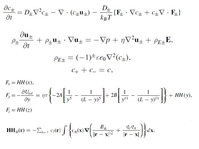
近日,深圳大学高等研究院预聘长聘助理教授陈誉博士成功采用了Poisson-Nernst-Planck方程组,耦合纳维-斯托克斯方程以及平均场理论,研究在双层石墨烯内,受电场驱动的双种类离子传输问题。陈博士独立把相关的结果以标题”A continuum PNP model of double species ion transport between graphene”,发表在《纳米科技》上 (中科院Top杂志) 。

与经典模型不同的是,该新型模型考虑了离子与离子以及离子与载体的相互作用。以Li+-PF6-1为例,由于双种类离子之间存在互相吸引的静电力,当双层石墨烯的距离比较小时,研究员使用数学分析,发现双种类离子的运输远比Li+ 单种类离子的运输稳定,几乎与外在电场、温度的强度无关。而且前者的储存状态更为复杂,与初始状态有着密切的关系。除此以外,研究员也探索了该系统的离子流动以及电传导等问题,可对新型电池的研发与生物离子通道的探索做出揭示作用。


文章链接:https://doi.org/10.1088/1361-6528/ac12ee
与此课题相关的论文有:
1. Y. Chan (2020) A continuum study of ionic layer analysis for single species ion transport in coaxial carbon nanotubes, Europhysics Letters, Vol.131: 46001.
2. Y. Chan, S. Muhammad, S-L. Lee and J.J. Wylie (2019) A continuum study of layer
analysis for single species ion transport inside double-layered graphene sheets with various
separations, Scientific Reports, Vol. 9, 11712.
3. Y. Chan and J.J. Wylie (2018) A continuum model of lithium ion transport inside
graphene, Europhysics Letters, Vol. 123, 14002.